二蛋 爱偷懒

选项(4分):

正确答案:正确答案 更新不易,赞助二蛋3元看答案,最新数据截至2025-11-13!立即操作>>
二蛋已收录了截至2025年11月13日安徽继续教育平台全科题目,题目准确率和覆盖率接近100%,请放心使用。

二蛋爱偷懒 2dan.com.cn

二蛋说:在有限的条件下,二蛋将尽最大努力提供一个纯净无广告,无安装插件,无病毒,并且直观超级简洁的海量学习题目平台,感谢各位用户的支持!
其他题目
[填空题]

  年,爆发了广州黄花岗起义。

查看答案

[填空题]

同盟会的政治纲领是“驱除鞑虏,恢复中华,创立民国、  。”

查看答案

[填空题]

1981年  全会,通过了《关于建国以来党的若干历史问题的决议》。

查看答案

[填空题]

农村包围城市、武装夺取政权理论的提出,标志着毛泽东思想的初步  。

查看答案

[填空题]

毛泽东指出,社会主义的第一个阶段是不发达的社会主义,第二个阶段是 的社会主义。

查看答案

[填空题]

10.png  

查看答案

[填空题]

=  


查看答案

[填空题]

  


查看答案

[填空题]

3.png  

查看答案

[填空题]

3.png  

查看答案

[填空题]

5.png  

查看答案

[填空题]

0.png

4.png

2.png  

查看答案

[填空题]

  


查看答案

[填空题]

4.png  

查看答案

[填空题]

GSA8N[6PWTZNC(9U}HHLSE3.png  

查看答案

[判断题]

正确 、正确。

错误 、错误。

查看答案

[判断题]

大多数英语名词都有性的区别,且有两种不同的形式。

正确 、正确。

错误 、错误。

查看答案

[判断题]

The boy bought dozens of pencils.句中的’dozens of‘意思为’几十‘。

正确 、正确。

错误 、错误。

查看答案

[单选题]

1. She always waits to eat until her husband_____ home to join her.



A

comes

B

came      

C

will come   

D

is coming

查看答案

[判断题]

在文学作品中,有些中性名词通常被视为阴性,如:summer, mountain, murder等。

正确 、正确。

错误 、错误。

查看答案

[判断题]

He is in his early twenties. 该句中的early twenties意思是“不到20岁”。

正确 、正确。

错误 、错误。

查看答案

[单选题]

1. People get very worried about the future_______ like these.



A

at the time 

B

 in those times  

C

on time  

D

 in times

查看答案

[单选题]

1. She hasn’t slept very well  ____ she had that accident.



A

for  

B

during 

C

 since 

D

from

查看答案

[单选题]

Each sentence has an underlined word or phrase, choose one of the words or phrases(a, b, c, d) which best keeps the meaning of the original sentence if it is substituted for the underlined word or phrase.

18. Many visitors find the tempo of life here very difficult.



A

kind         

B

growth         

C

 speed          

D

spectacle

查看答案

[单选题]

Each sentence has an underlined word or phrase, choose one of the words or phrases(a, b, c, d) which best keeps the meaning of the original sentence if it is substituted for the underlined word or phrase.

28. The laws which the new government imposed on the population were very harsh.



A

took 

B

established

C

passed       

D

 forced

查看答案

[单选题]

1. The blizzard blew hard________ everything in a short time.



A

and covered  

B

 cover   

C

 to cover  

D

on covering

查看答案

[单选题]

1. Other large animals died almost ____ the mammoths.



A

so quickly that 

B

more quickly  

C

quickly like

D

 as quickly as

查看答案

[判断题]

阅读短文,判断正误。

The Easter Bunny, also called Easter Hare or Spring Bunny, is a character who brings baskets filled with colored eggs, candy and sometimes also toys to the homes of children on the night before Easter. It is depicted as a rabbit sometimes with clothes. When Easter Bunny brings the gifts, it will hide them somewhere in the house or garden for the children to find when they wake up in the morning. Like Santa Claus, Easter Bunny brings gifts to children on the night before the holiday.

1. Easter Bunny brings gifts in a bag. 



正确 、正确。

错误 、错误。

查看答案

[判断题]

阅读短文,判断正误。

The Easter Bunny, also called Easter Hare or Spring Bunny, is a character who brings baskets filled with colored eggs, candy and sometimes also toys to the homes of children on the night before Easter. It is depicted as a rabbit sometimes with clothes. When Easter Bunny brings the gifts, it will hide them somewhere in the house or garden for the children to find when they wake up in the morning. Like Santa Claus, Easter Bunny brings gifts to children on the night before the holiday.


5. Children look for the gifts on Easter Day. 


正确 、正确。

错误 、错误。

查看答案

[单选题]

1. Henry Ford was ____ pioneer in the development of assembly line mass production.


A

-      



B

the   


C

an  



D



查看答案

[单选题]

Each sentence has an underlined word or phrase, choose one of the words or phrases(a, b, c, d) which best keeps the meaning of the original sentence if it is substituted for the underlined word or phrase.

34. we stood in the street and looked up at the monstrous skyscrapers all around us.



A

dirty    

B

strange            

C

 horrible        

D

 contemporary

查看答案

[单选题]

1. Of ___ we will do everything we can to help you.



A

coarse    

B

 cause   

C

course

D

curse

查看答案

[单选题]

若n阶方阵A与某对角阵相似,则(    )

A

r(A) = n

B

A 有n个不同的特征值

C

A 有n个线性无关的特征向量

D

A 必为对称阵

查看答案

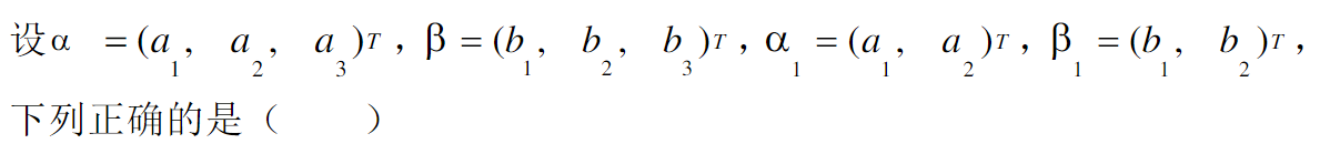
[单选题]

A

6D

B

12D

C

24D

D

36D

查看答案

[判断题]

正确 、正确。

错误 、错误。

查看答案

[单选题]

A

A的列向量线性无关

B

A的列向量线性相关

C

A的行向量线性无关

D

A的行向量线性相关

查看答案

[判断题]

正确 、正确。

错误 、错误。

查看答案

[单选题]

设A是m×n矩阵,非齐次线性方程组AX=b 的导出组为AX = 0,若m<n,则(      )

A

AX = b必有无穷多解

B

AX = b必有唯一解

C

AX = 0必有非零解

D

AX = 0必有唯一解

查看答案

[单选题]

A

B

C

D

以上都不对

查看答案

[单选题]

n阶矩阵A 可逆的充要条件是(      )

A

A 的每个行向量都是非零向量

B

A 中任意两个行向量都不成比例

C

A 的行向量中有一个向量可由其他向量线性表示

D

对任何n维向量X ,均有AX ≠0

查看答案

[判断题]

正确 、正确。

错误 、错误。

查看答案

[单选题]

A

1

B

2

C

3

D

4

查看答案

[判断题]

正确 、正确。

错误 、错误。

查看答案

[判断题]

正确 、正确。

错误 、错误。

查看答案

[单选题]

已知4阶行列式中第一行元素依次是-4,0,1,3,第三行元素的余子式依次为-2,5,1,x,则x=(     )

A

0

B

-3

C

3

D

2

查看答案

[判断题]

’I saw the man who is famous for his fine acting‘关系代词who所引导的定语从句在此句中充当宾语。

正确 、正确。

错误 、错误。

查看答案

[单选题]

Each sentence has an underlined word or phrase, choose one of the words or phrases(a, b, c, d) which best keeps the meaning of the original sentence if it is substituted for the underlined word or phrase.

11. The contest between the two boxers was always bound to be difficult.



A

argument   

B

game

C

behaviour 

D

fight

查看答案

[单选题]

Each sentence has an underlined word or phrase, choose one of the words or phrases(a, b, c, d) which best keeps the meaning of the original sentence if it is substituted for the underlined word or phrase.

23. When my collarbone was displaced during a rugby game, it was extremely painful.



A

bent     

B

dislocated  

C

broken     

D

replaced

查看答案

[单选题]

1. We haven’t been abroad  ____literally years.



A

through 

B

 for   

C

during  

D

 since

查看答案

[单选题]

1. When he lifted the car, the man seemed to be ____ with superhuman strength.



A

endowed   

B

filled 

C

empowered

D

endured

查看答案

[单选题]

Each sentence has an underlined word or phrase, choose one of the words or phrases(a, b, c, d) which best keeps the meaning of the original sentence if it is substituted for the underlined word or phrase.

17. My head teacher stood staring grimly out of the window before he turned to speak to me.


A

seriously  



B

happily     


C

sternly    



D

 vaguely



查看答案

[单选题]

Each sentence has an underlined word or phrase, choose one of the words or phrases(a, b, c, d) which best keeps the meaning of the original sentence if it is substituted for the underlined word or phrase.

19. This is a film that might well alter your perception of how teenagers think.



A

look 


B

sight


C

 response  



D

view



查看答案

[单选题]

1. She didn’t _____ that I was wearing new slippers.



A

remark  

B

tell     

C

notice 

D

 observe

查看答案

[单选题]

1. This aircraft is driven by jet ____.



A

progress  

B

propellers  

C

procedure

D

propulsion

查看答案

[判断题]

阅读短文,判断正误。

Betty and kitty are twins. They’re 12 years old. They look the same. But they have different hobbies. Betty likes collecting stamps. She has many beautiful stamps. They’re from different cities and countries. But Kitty likes growing flowers. The flowers are all very beautiful. Betty and Kitty both like reading books. Betty likes reading storybooks. But Kitty likes reading science books. On Sundays, they usually ride bikes to the park. They can play with their friends there. Sometimes their parents go there, too.

1. Betty is Kitty’s elder sister. 


正确 、正确。

错误 、错误。

查看答案

[单选题]

1. I’m going to spend the next month ____ for the final exam.



A

devising   

B

improvising  

C

 converting   

D

revising

查看答案

[单选题]

Each sentence has an underlined word or phrase, choose one of the words or phrases(a, b, c, d) which best keeps the meaning of the original sentence if it is substituted for the underlined word or phrase.

8. I thought the rule not allowing women to compete was completely absurd.



A

ridiculous  

B

annoying 

C

 mean 

D

splendid

查看答案

[单选题]

1. None of the students__________ a word that the lecturer said.



A

understood

B

realized       

C

recognized

D

attained

查看答案

[单选题]

Each sentence has an underlined word or phrase, choose one of the words or phrases(a, b, c, d) which best keeps the meaning of the original sentence if it is substituted for the underlined word or phrase.

9. After what I have heard, I have no inclination to go to her home.



A

influence  

B

wish    

C

tendency

D

need

查看答案

[判断题]

This took place in the 1930s. 该句中的1930s表示1930年。

正确 、正确。

错误 、错误。

查看答案

[判断题]

后缀‘-er’可加在名词、动词、复合词等词后表示“人”或“物”。

正确 、正确。

错误 、错误。

查看答案

[单选题]

Each sentence has an underlined word or phrase, choose one of the words or phrases(a, b, c, d) which best keeps the meaning of the original sentence if it is substituted for the underlined word or phrase.


2. The dentist had to remove two teeth because they were decaying.


A

going bad           


B

destroying   

C

going to pieces      

D

rotten

查看答案

[单选题]

1. By now my sister _______every shoe shop in town!



A

visits   

B

will visit      

C

 is visiting        

D

will have visited

查看答案

[单选题]

Each sentence has an underlined word or phrase, choose one of the words or phrases(a, b, c, d) which best keeps the meaning of the original sentence if it is substituted for the underlined word or phrase.

12. From all the different clues, we were able to deduce that the murderer was short fat woman.



A

work out   

B

consider  

C

suggest        

D

 calculate

查看答案

[单选题]

1. You can go on courses now to help you_______ a fear of flying.



A

overturn     

B

overhear  

C

overcome 

D

overdo

查看答案

[单选题]

1. Just _____ you could live somewhere completely different!



A

providing   

B

condition      

C

unless

D

suppose

查看答案

[判断题]

正确 、正确。

错误 、错误。

查看答案

[单选题]

A

-1

B

-2

C

-3

D

0

查看答案

[单选题]

A

0

B

-1

C

1

D

2

查看答案

[单选题]

A

r=n

B

r<n

C

r>=n

D

r>n

查看答案

[判断题]

正确 、正确。

错误 、错误。

查看答案

[判断题]

特征值全是1是正交阵必是单位阵。

正确 、正确。

错误 、错误。

查看答案

[判断题]

正确 、正确。

错误 、错误。

查看答案

[判断题]

n阶行列式的展开式中含的项共有项。

正确 、正确。

错误 、错误。

查看答案

[单选题]

A

a

B

2a

C

2a+1

D

查看答案

[单选题]

A

B

C

D

查看答案

[单选题]

设A 为 m×n矩阵,齐次线性方程组 AX = 0 仅有零解的充要条件为(     )

A

A 的列向量线性无关

B

A 的行向量线性无关

C

A的列向量线性相关

D

A 的行向量线性相关

查看答案

[判断题]

正确 、正确。

错误 、错误。

查看答案

[判断题]

正确 、正确。

错误 、错误。

查看答案

[判断题]

正确 、正确。

错误 、错误。

查看答案

[单选题]

设A 为n阶方阵,且 |A|≠ 0,则 (       )

A

A 经列初等变换可变为单位阵 I

B

由AX = BA ,可得 X=B

C

D

以上A、B、C都不对

查看答案

[单选题]

A

B

C

D

查看答案

[单选题]

在对Word文档进行编辑的过程中,可通过快捷键(     )保存文档

A

Ctrl+S

B

Ctrl+C

C

Ctrl+V

D

Ctrl+X

查看答案

[判断题]

代词(pronoun)在句中用来代替名词或名词词组。

正确 、正确。

错误 、错误。

查看答案

[判断题]

一日三餐等名词前不用冠词。

正确 、正确。

错误 、错误。

查看答案

[判断题]

阅读短文,判断正误。

Clouds look like ice cream.. what are clouds really made of? Clouds are made up of millions of tiny droplets of water and ice. Each of these droplets is smaller than a grain of flour, and the droplets are so light that they float on air. When billions of these droplets come together high in the sky, they become a cloud like we see. Clouds look sweet, if you think they are ice cream.


5. Clouds are sweet.  


正确 、正确。

错误 、错误。

查看答案

[判断题]

阅读短文,判断正误。

Louisiana hosts one of the most well-known celebration--Mardi Gras. Mardi Gras is French for “Fat Tuesday”. People wear masks and costumes, and dance.

Today Mardi Gras is celebrated in many parts of the world--Brazil, Belgium, Italy, Panama. The American town which holds the biggest celebration is New Orleans, in Louisiana. It was the French explorers who started this celebration on the Mississippi River in the late 17th century.


4. French explorers started to celebrate Mardi Gras.   



正确 、正确。

错误 、错误。

查看答案

[判断题]

阅读短文,判断正误。

Have you ever seen a rainbow? On rainy day when the sun comes out, a beautiful rainbow appears. Rainbows only appear when it is raining, and the sun is shining. Rainbows are actually beautiful rays of color from the sun. Sunlight look white, but it’s really made up of different colors... red, orange, yellow, green, blue, indigo and violet. When sunlight passes through rain drops, it makes a rainbow. The raindrops act like tiny prisms, and the light spreads out into a band of colors in the shape of a rainbow. Rainbows make everyone happy.


5. Sunlight passes through raindrops, and it makes rainbow. 


正确 、正确。

错误 、错误。

查看答案

[判断题]

阅读短文,判断正误。

One day Tom tells his friends, “I’m going to visit Beijing. But I can’t speak Chinese, so I’m going to have evening classes and have Chinese lessons there for a month.” Soon his holidays come and he goes to China happily. After he comes back, his friends ask him, “Do you have any trouble with your Chinese when you are in Beijing, Tom?” “No, I don’t,” answers Tom, “ But the Chinese do!”


4. Tom is living in Beijing now.  



正确 、正确。

错误 、错误。

查看答案

[判断题]

两个以上人称代词并列时,出于礼貌,习惯上时第一人称代词居前,第二、第三人称代词居后。

正确 、正确。

错误 、错误。

查看答案

[判断题]

阅读短文,判断正误。

Louisiana hosts one of the most well-known celebration--Mardi Gras. Mardi Gras is French for “Fat Tuesday”. People wear masks and costumes, and dance.

Today Mardi Gras is celebrated in many parts of the world--Brazil, Belgium, Italy, Panama. The American town which holds the biggest celebration is New Orleans, in Louisiana. It was the French explorers who started this celebration on the Mississippi River in the late 17th century.


5. People in the U.S. did not celebrate Mardi Gras in the early 17th century.   


正确 、正确。

错误 、错误。

查看答案

[判断题]

阅读短文,判断正误。

Betty and kitty are twins. They’re 12 years old. They look the same. But they have different hobbies. Betty likes collecting stamps. She has many beautiful stamps. They’re from different cities and countries. But Kitty likes growing flowers. The flowers are all very beautiful. Betty and Kitty both like reading books. Betty likes reading storybooks. But Kitty likes reading science books. On Sundays, they usually ride bikes to the park. They can play with their friends there. Sometimes their parents go there, too.


3. Kitty likes reading storybooks. 


正确 、正确。

错误 、错误。

查看答案

[单选题]

1. The house on the corner of our road is ________.


A

in the sales


B

 to sell 


C

selling  


D

 for sale



查看答案

[单选题]

Each sentence has an underlined word or phrase, choose one of the words or phrases(a, b, c, d) which best keeps the meaning of the original sentence if it is substituted for the underlined word or phrase.

10. The attack on the old man was so savage that he had to be given an emergency operation.



A

frightening     

B

sudden    

C

significant  

D

fierce

查看答案

[单选题]

Each sentence has an underlined word or phrase, choose one of the words or phrases(a, b, c, d) which best keeps the meaning of the original sentence if it is substituted for the underlined word or phrase.


3. Sarah’s ancestors arrived here from France about two hundred years ago.



A

descendants       

B

forefathers   

C

relatives    

D

grandfathers

查看答案

[单选题]

1. She bought a ___ of the Pyramids when she went to Egypt.



A

memory  

B

souvenir  

C

remembrance  

D

memoir

查看答案

[单选题]

1. _____ can glide for hours with its large wings spread over currents of air.



A

A pigeon  

B

 A partridge

C

An albatross

D

A swallow

查看答案

[单选题]

1. Where did that policeman come from? He ___ from nowhere!



A

appeared  

B

presented  

C

 showed  

D

seemed

查看答案

[单选题]

1. Many of the scientist’s specimens _____ in jars.


A

preserve

B

have preserved 

C

are preserving  


D

have been preserved



查看答案

[单选题]

Each sentence has an underlined word or phrase, choose one of the words or phrases(a, b, c, d) which best keeps the meaning of the original sentence if it is substituted for the underlined word or phrase.

26. The girl practised ceaselessly to become a professional pianist.



A

continuously 

B

precisely

C

 largely 

D

 basically

查看答案